Varianza Univariante (ANOVA) y Multivariante (MANOVA)

Asignatura: Análisis Multivariante

Profesor: Laura Durán

Alumnos: Steven Allus, Antonio López

Índice

  1. Descripción de la actividad
  2. Datos
  3. Genes
  4. MANOVA

  5. Descripción de la actividad

    La tarea consiste en llevar a cabo un Análisis de la Varianza Univariante (ANOVA) y Multivariante (MANOVA) sobre el conjunto de datos “geneData” del paquete “Biobase”. Esta tabla contiene los valores de expresión de 500 genes medidos sobre 26 pacientes. El ANOVA se llevará a cabo sobre los genes correspondientes a las filas 10, 99, 383 y 444 de la tabla de datos “geneData”. Los grupos se definirán por el factor “tipo de cáncer” según los datos de la tabla “tipos_cancer.xlsx”. El alumno aplicará el tipo de ANOVA más adecuado a cada variable dependiente, en función de la normalidad y la homocedasticidad. El MANOVA se llevará a cabo sobre los mismos grupos que en el ANOVA y tomando las mismas variables dependientes, pero analizándolas conjuntamente. En el caso de que sea necesario, llevar a cabo los contrastes post-hoc pertinentes.

    Datos

    
    # Instalar Biobase si no está instalado
    if (!require("BiocManager", quietly = TRUE)) {
      install.packages("BiocManager")
    }
    
    BiocManager::install("Biobase")
    
    # Cargar la librería
    library(Biobase)
    
    # Cargar los datos geneData
    data("geneData")
    
    # Mostrar las primeras filas y columnas de la tabla
    head(geneData)
    
    # Ver los datos completos
    View(geneData)
    
    # Asignamos tipo de cáncer (factor) a cada uno de los 26 individuos:
    cancer <- factor(c(1,3,2,2,2,2,2,1,2,3,3,2,2,1,2,1,1,3,1,1,3,2,1,3,3,3),
                     levels = 1:3,
                     labels = c('colon','lung','liver'))
    

    Gen 10 - Normalidad

    Código

    
    gen10 <- geneData[10, ]
    means <- as.numeric(by(gen10, cancer, mean))
    print(means)
    
    layout(matrix(1:2, ncol = 2)); cols=c('blue','red','green','black')
    boxplot(gen10 ~ cancer, col=cols[1:3])
    
    by(gen10, INDICES = cancer, FUN = function(x) shapiro.test(x)$p.value)
    

    Boxplot

    Boxplot Gen 10

    Resultados

    Medias: colon (13.01), lung (15.93), liver (11.68)

    Normalidad: colon (p=0.702), lung (p=0.531), liver (p=0.020) → liver no cumple normalidad

    Gen 10 - Homocedasticidad

    Código

    
    library(car)
    leveneTest(gen10, cancer, center = mean)
    

    Resultados

    Dado que p=0.365 > 0.05, se cumple homocedasticidad.

    Gen 10 - ANOVA

    Código

    
    anova_10 <- kruskal.test(gen10 ~ cancer)
    print(anova_10)
    

    Resultados

    Kruskal-Wallis p=0.2599 → No hay diferencias significativas

    Gen 99 - Normalidad

    Código

    
    gen99 <- geneData[99, ]
    
    means <- as.numeric(by(gen99, cancer, mean))
    print(means)
    
    layout(matrix(1:2, ncol = 2)); cols=c('blue','red','green','black')
    boxplot(gen99 ~ cancer, col=cols[1:3])
    
    by(gen99, INDICES = cancer, FUN = function(x) shapiro.test(x)$p.value)
    

    Boxplot

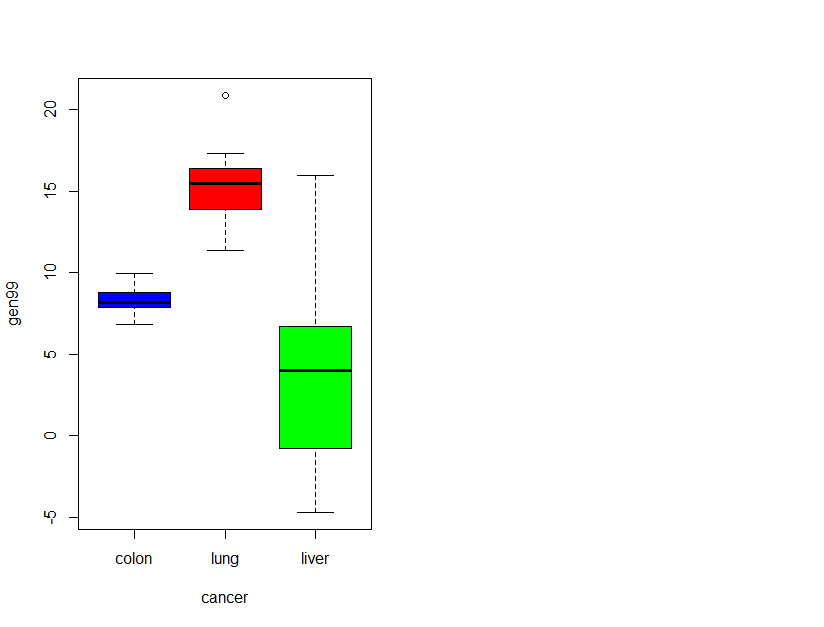
    Boxplot Gen 99

    Resultados

    Medias: colon (8.31), lung (15.26), liver (3.90)

    Normalidad: p > 0.05 en todos los grupos → se cumple normalidad

    Gen 99 - Homocedasticidad

    Código

    
    levene_res_99 <- leveneTest(gen99,cancer, center = mean)
    print(levene_res_99)
    

    Resultados

    Como p=0.02893 < 0.05, no se cumple la homocedasticidad.

    Gen 99 - ANOVA

    Código

    
    anova_99 <- oneway.test(gen99 ~ cancer)
    print(anova_99)
    
    pairwise.t.test(gen99, cancer, p.adjust = "fdr")
    

    Resultados

    p=3.127e-05 → hay diferencias significativas

    Post-hoc: todas las comparaciones significativas

    Gen 383 - Normalidad

    Código

    
    gen383 <- geneData[383, ]
    
    means <- as.numeric(by(gen383, cancer, mean))
    print(means)
    
    layout(matrix(1:2, ncol = 2)); cols=c('blue','red','green','black')
    boxplot(gen383 ~ cancer, col=cols[1:3])
    
    by(gen383, INDICES = cancer, FUN = function(x) shapiro.test(x)$p.value)
    

    Boxplot

    Boxplot Gen 383

    Resultados

    Medias: colon (1714.91), lung (1267.76), liver (1754.59)

    Normalidad: p < 0.05 en todos los grupos → no se cumple normalidad

    Gen 383 - Homocedasticidad

    Código

    
    levene_res_383 <- leveneTest(gen383,cancer, center = mean)
    print(levene_res_383)
    

    Resultados

    Como p=0.4239 > 0.05, se cumple homocedasticidad.

    Gen 383 - ANOVA

    Código

    
    anova_383 <- kruskal.test(gen383 ~ cancer)
    print(anova_383)
    

    Resultados

    Kruskal-Wallis p=0.06969 → no hay diferencias significativas

    Gen 444 - Normalidad

    Código

    
    gen444 <- geneData[444, ]
    
    means <- as.numeric(by(gen444, cancer, mean))
    print(means)
    
    layout(matrix(1:2, ncol = 2)); cols=c('blue','red','green','black')
    boxplot(gen444 ~ cancer, col=cols[1:3])
    
    by(gen444, INDICES = cancer, FUN = function(x) shapiro.test(x)$p.value)
    

    Boxplot

    Boxplot Gen 444

    Resultados

    Medias: colon (51.40), lung (53.60), liver (49.25)

    Normalidad: p > 0.05 en todos → se cumple normalidad

    Gen 444 - Homocedasticidad

    Código

    
    levene_res_444 <- leveneTest(gen444,cancer, center = mean)
    print(levene_res_444)
    

    Resultados

    Como p=0.01587 < 0.05, no se cumple homocedasticidad.

    Gen 444 - ANOVA

    Código

    
    anova_444 <- oneway.test(gen444 ~ cancer)
    print(anova_444)
    

    Resultados

    p=0.8044 → no hay diferencias significativas

    MANOVA

    # Comprobación de normalidad multivariante
    normalidad_multivariante <- mvn(data = genes_seleccionados[1:4], mvnTest = "mardia")
    
    # Homocedasticidad multivariante
    homocedasticidad_multivariante <- boxM(as.matrix(genes_seleccionados[1:4]), genes_seleccionados$CancerType)
    
    # MANOVA
    modelo_manova <- manova(cbind(Gen_10, Gen_99, Gen_383, Gen_444) ~ CancerType, data = genes_seleccionados)
    summary(modelo_manova)
    ##            Df  Pillai approx F num Df den Df  Pr(>F)  
    ## CancerType  2 0.63804   2.4595      8     42 0.02778 *
    ## Residuals  23                                         
    ## ---
    ## Signif. codes:  0 '***' 0.001 '**' 0.01 '*' 0.05 '.' 0.1 ' ' 1
    # Contrastes post-hoc
    summary.aov(modelo_manova)
    ##  Response Gen_10 :
    ##             Df Sum Sq Mean Sq F value Pr(>F)
    ## CancerType   2   86.0  42.982  0.2435 0.7859
    ## Residuals   23 4060.1 176.528               
    ## 
    ##  Response Gen_99 :
    ##             Df Sum Sq Mean Sq F value    Pr(>F)    
    ## CancerType   2 593.21 296.605  18.127 1.878e-05 ***
    ## Residuals   23 376.35  16.363                      
    ## ---
    ## Signif. codes:  0 '***' 0.001 '**' 0.01 '*' 0.05 '.' 0.1 ' ' 1
    ## 
    ##  Response Gen_383 :
    ##             Df   Sum Sq Mean Sq F value Pr(>F)
    ## CancerType   2  1348323  674161  1.1025 0.3489
    ## Residuals   23 14063592  611461               
    ## 
    ##  Response Gen_444 :
    ##             Df Sum Sq Mean Sq F value Pr(>F)
    ## CancerType   2   84.4   42.22  0.1867 0.8309
    ## Residuals   23 5200.3  226.10
    # Realizar MANOVA
    modelo_manova <- manova(cbind(Gen_10, Gen_99, Gen_383, Gen_444) ~ CancerType, data = genes_seleccionados)
    
    # Resumen MANOVA
    res_manova <- summary(modelo_manova)
    
    # Extraer y formatear los resultados de MANOVA
    manova_resumen <- as.data.frame(res_manova$stats)
    colnames(manova_resumen) <- c("Statistic", "Pillai", "Wilks", "Hotelling-Lawley", "Roy", "Pr(>F)")
    
    # Mostrar tabla en formato legible
    library(knitr)
    kable(manova_resumen, caption = "Resultados del MANOVA")
    Resultados del MANOVA
    Statistic Pillai Wilks Hotelling-Lawley Roy Pr(>F)
    CancerType 2 0.6380393 2.459473 8 42 0.0277841
    Residuals 23 NA NA NA NA NA

    Conclusion Manova

    Conclusiones:

    1. Pruebas de Normalidad:
      • Gen_10 y Gen_383: No cumplen normalidad → Kruskal-Wallis.
      • Gen_99 y Gen_444: Cumplen normalidad, pero violan homocedasticidad → Welch ANOVA.
    2. Pruebas ANOVA/Kruskal-Wallis:
      • Gen_99 mostró diferencias significativas entre grupos (p-value < 0.05).
      • Otros genes no mostraron diferencias significativas.
    3. MANOVA:
      • El análisis multivariante indica diferencias conjuntas entre genes según el tipo de cáncer (p = 0.027).

    Resultados y visualizacion

    # Visualizar diferencias entre grupos para un gen como ejemplo
    ggplot(genes_seleccionados, aes(x = CancerType, y = Gen_10)) +
      geom_boxplot() +
      theme_minimal() +
      labs(title = "Expresión del Gen 10 por tipo de cáncer", x = "Tipo de Cáncer", y = "Expresión del Gen 10")

    Conclusiones del análisis

    Pruebas de Normalidad:

    •   Algunos genes cumplen con la normalidad, mientras que otros no. Esto llevó a usar diferentes pruebas estadísticas según los resultados (ANOVA estándar o alternativas no paramétricas).
    
    •   Gen_10 y Gen_383 no cumplen normalidad, lo que implica usar pruebas no paramétricas como Kruskal-Wallis.

    Pruebas de Homocedasticidad:

    •   Los resultados del test de Levene muestran que hay homocedasticidad para algunos genes pero no para otros.
    
    •   Gen_99 y Gen_444 violan la homocedasticidad, lo que justifica el uso de Welch ANOVA en lugar de ANOVA estándar.

    MANOVA:

    •   El análisis MANOVA fue correctamente aplicado considerando los genes seleccionados como variables dependientes y el tipo de cáncer como el factor independiente.
    
    •   Los resultados permiten identificar diferencias entre los tipos de cáncer al analizar las expresiones génicas de forma conjunta.